

なりたい体へ 削ぎ落す
研究データを参考に設計された「45℃×15分」の加温プログラム。
最新DRFテクノロジーで、サロンに結果を届けます。

Sogireとは?
今すぐの手応えと、時間とともに深まる美しさを。
最新の痩身研究データを参考に再現し、「確かな理論を、誰にでも結果として届けたい」その想いから開発された業務用痩身機です。
年齢・性別・体質を問わず、不必要なところだけを"美しく削ぎ落す"――それがSogire です。
複合機としての強み
Sogireの中心技術である DRF(デュアルダイナミックRF) は、医療機関にも応用されている先進的な温熱理論をもとに開発。施術後、10日〜2週間ほどをかけて、肌やボディラインに徐々に変化が現れるといわれています。しかし、エステサロンでは「その場での実感」も求められるため、 持続的な深部ケアだけでは十分に満足いただけないケースもあります。
そこでSogireは、即時的な体感をサポートする RFバキューム(Vacuum+RF+LED RED LIGHT) を搭載。
DRFによる 肌の深部への温熱アプローチ(連鎖スリム化)
RFバキュームによるその場での引き締め感・ケア(即効性)
この両輪を兼ね備えた、サロンに 最適化された複合機 です。


新技術
DRF テクノロジー
従来のようにプローブを動かし続ける必要はありません。
DRF(デュアルダイナミックRF)は、
プローブを固定したままハンズフリーで施術が可能です。
ここまで届く
新技術 DRF テクノロジー
(デュアルダイナミックRF)
Sogire(ソギレ)は、最新技術DRFを搭載したボディケアマシンです。高周波と低周波を組み合わせたアプローチにより、肌の奥深くまで心地よい温熱ケアを届け、無理なく美しいボディラインづくりをサポートします。


45℃で 15分間の一定加温
DRF(デュアルダイナミックRF)は、研究データで注目される「43〜45℃で一定時間加温する理論」を応用し、プローブを固定したままハンズフリーで施術が可能な技術です。温度センサーで過剰加熱を制御し、安全性を確保しながら、サロン向けに最適化したプログラムを搭載しています。
3週間後に現れる DRF"連鎖スリム効果"
研究データに基づいたDRFテクノロジーは、時間をかけて不要なものの排出を促すプログラムです。施術後もプロセスは継続し、10日〜2週間ほどで肌やボディラインに徐々に変化が現れるといわれています。
1回の施術を行い、その3週間後に撮影した写真です。DRFは"連鎖的に変化を積み重ねる"ケアとして注目されています。


RFバキューム
(Vacuum+RF+LED RED LIGHT)
即効性の秘密は
カッピング式RFバキューム
- 強力な吸引で固い部位をほぐし、体の循環を整える
- バイポーラRFが吸引部を加熱→加圧トリートメント+引き締め
- LED RED LIGHT(635nm)が代謝をサポート
さらに、DRF施術直後に併用することで、排出をサポートし、
即効性と連鎖スリム化を両立します。

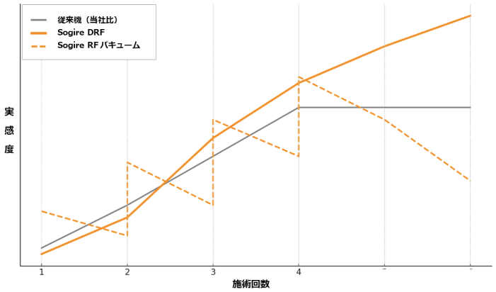
その場で変わる + 変わり続ける!
Sogireは「即効性」と「連鎖スリム化」を両立。お客様が求める2つの効果を1台で実現します。

即効性RFバキューム
(Vacuum+RF+LED RED LIGHT)
従来より強いカッピング式の吸引力で、むくみやボディラインの乱れが整いやすくなり、直後から引き締まり感を実感しやすくなります。
短期間での変化が求められるイベント前などに最適で、即効性を重視するお客様に高い満足感を提供します。
連鎖スリム化DRF
(デュアルダイナミックRF)
施術を続けることで、初回よりも次回、その次と変化がよりわかりやすくなり、目で見ても体感でも結果を感じやすくなります。さらに、一度引き締まった部分は戻りにくく、1クールを終えた後も"痩せやすい状態"を維持しやすいのも特長です。繰り返すほどに本来の自分の体型へと戻していく感覚になる、独自のスリムアプローチです。
驚きの変化をその目で

1回の施術でここまで変化!
60代女性 むくみが悩み
太もも:両足DRF15分+片足のみRFバキューム15分

気になる部位を2か月集中ケア!
20代女性 ヒップ/腰まわり
DRFモード(2週間に1回)+RFバキューム(毎週)
トリートメントサイクル(基本プラン)
2週間に1回 × 4回(約2ヵ月)が基本コース
早く結果を求める方には 1週間〜10日に1回 の施術も可能です。
1回の施術:DRF(15分)+RFバキューム(15〜30分)を組み合わせ、即効性+連鎖スリム化
さらに、1週間後にRFバキュームを追加することで排出プロセスを促進し、更に効率を高めます。
代謝サイクルに沿った施術プランで、施術後1〜3ヵ月で最も大きな変化を実感。
プログラムの結果が安定するのはおおよそ4か月後とされています。
症例紹介
続けるほど応えてくれる「連鎖スリム化」
1クール/2023年 5月~7月
2クール/2025年 5月~7月
持続的な効果を実感:
*施術内容:太もも(DRF15分、RFバキューム片足15分ずつ) 1クール(4回施術)を終えた後、2年間の期間をおいてもラインの状態が大きく崩れることなく維持されており、2クール目では、よりはっきりとした変化が確認できました。無理のない施術を生活習慣に取り入れながら、年齢に逆らうのではなく、自然に寄り添いながら理想の姿へ近づけるのがSogireの魅力です。
お客様も納得「即効性」
持続的な効果を実感:
*施術内容:お腹/太もも裏(DRF各15分、RFバキューム各15~30分) 初回の1回だけでもラインの引き締まりが目で見てわかり、変化を実感しやすいのが、Sogireの強み です。こうした即効性があるからこそ、お客様の納得感が高まり、継続的な施術へのモチベーションにもつながります。
1か月後の実感
持続的な効果を実感:
*施術内容:お腹/背中(DRF各15分、RFバキューム各15分) 1カ月間に2回の施術を行っただけで、ラインに変化が現れました。お客様自身も変化を感じたことで、前向きにケアへ取り組まれるようになり、満足度の向上につながります。
1クール、2か月間での変化
持続的な効果を実感:
*施術内容:腰回り(DRF15分、RFバキューム15分)
持続的な効果を実感:
*施術内容:腰回り(DRF15分、RFバキューム30分)
2か月間の基本的な施術を継続するだけで、体のラインが徐々にスッキリと整っていきました。普段の生活を続けながら自然な変化を体感できるのがSogireの魅力です。1か月を過ぎたころから、ウエストや腰まわりの引き締まり感が高まり、目に見える違いが現れてきます。日常生活に無理なく取り入れられるからこそ、1クール=2か月間という短期間でも、納得のいく変化につながった症例です。
ヒップを整える
持続的な効果を実感:
*施術内容:ヒップ(DRF15分、RFバキューム15~30分) Sogireは、部位や組み合わせによって多彩なメニューを展開できるユニークなボディケア機器です。ヒップをケアすることで腰まわりから全身のラインづくりにつながり、「小さく整えたい」「バランスをよく見せたい」など、目的に合わせたアプローチが可能です。
DRFプローブのみで施術
持続的な効果を実感:
*施術内容:二の腕(DRF15分) 新技術DRFは、気になる部位をじんわりと深部まで温めることで、時間をかけながら変化を実感しやすくします。プローブを固定するだけのハンズフリー施術でありながら、しっかりと結果をともなうのも大きな特長です。
二か月後のイベントに向けて
持続的な効果を実感:
*施術内容:腰回り(DRF15分、RFバキューム15分)/二の腕(DRF15分) イベントに向けて計画的に取り組めるところもSogireの特長です。ジムでトレーニングを続けていたものの思うような成果を得られなかったお客様が、食生活の改善とあわせてSogireを取り入れました。効率的にコンディションを整えることができ、二か月という短期間で理想に近いボディラインづくりへとつながりました。お客様自身の努力とサロンケアが相乗的に作用し、目標達成を後押しした症例です。

サロン導入をお考えの皆さまへ
サロン導入のメリット
-
即効性による満足度の向上
むくみやボディラインの見違える変化が一度の施術でもわかりやすく現れ、その場で喜ばれます。
-
顧客満足度とリピート率UP
確かな結果を求める顧客に応えられるため、リピート率が向上し、長期的な関係性を構築できます。
-
スタッフの負担軽減
ハンズフリーで施術できるため、スタッフの身体的負担を軽減し、サロン運営を効率化します。
-
売上アップに直結
高単価メニューの導入が可能で、サロン全体の売上向上に貢献します。
デメリット
-
施術時間の管理
DRFモードとRFバキュームモードを同時に稼働することはできません。そのため、複数の施術を連続して行う場合は時間管理が必要です。
-
体感の違い
施術中の「温かさ」や「吸引感」などの体感が独特で、お客様によっては慣れが必要な場合があります。
痩身機の比較
機種名 \ 項目 | 新規性 | ハンズフリー | アプローチの深さ | 痩身結果 |
---|---|---|---|---|
EMS | △ | ◯ | ◎ | △ |
キャビテーション | △ | ✕ | △ | ◯ |
ラジオ波・RF | △ | ✕ | △ | ◯ |
脂肪冷却 | △ | ◯ | ◯ | ◯ |
電磁パルス | ◯ | ◯ | ◎ | △ |
ハイフ・HIFU | ✕ | ◯ | ◎ | |
DRF | ◎ | ◯ | ◎ | ◎ |
※当社比
安全性・信頼性
-
温度センサー搭載
過熱防止と安全性を確保
-
第三者機関による検証
ラジオ波の安全性試験を実施
-
ISO認証工場製造
世界基準の品質管理体制

製品仕様
本体サイズ: | W48 × D38 × H114.5 cm |
---|---|
重量: | 35kg |
消費電力: | 600W |
DRFプローブ: | 450kHz+低周波10〜400Hz |
希望価格: | 2,400,000円(税抜) |